股票杠杆哪个平台好正规吗-股票怎么玩儿不亏钱-【东方资本】,炒股哪里开户手续费低,杠杆越大越好吗,最准的股票组合

Changzhou Ruihao Environmental Protection Technology Co., Ltd

Committed to industrial bactericides, preservatives and...

Our products are being used in the antisepsis and sterilization field of water
treatment, paint, leather and wood.

Sales Hotline:

+86-519-81297986

Products
Specification of OIT 99%

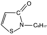
Generic Number: Hencide OIT
Raw material Name: 2-N-OCTYL-4-ISOTHIAZOLIN-3-ONE
Common Name: OIT
Chemical Name: 2-N-OCTYL-4-ISOTHIAZOLIN-3-ONE
CAS NO.: 26530-20-1

Molecular weight: 213.33
Structural formula:


Physical Form: Transparent to Amber Liquid
Attribute Specification:
Actives: ≥99%
Appearance: Transparent to Amber Liquid
Specific Gravity: * ≤1.2
Neat pH: 4.0-6.0
Water:  <0.5%

BACK

    Home  |  About Us  |  Products  |  MSDS  |  Marketing News  |  Contact Us  |  中文版

    Copyright(C)2018, Changzhou Ruihao Environmental Protection Technology Co., Ltd All Rights Reserved. Supported by ChemNet ChinaChemNet Toocle Copyright Notice 備案序號:蘇ICP備05042830號